當前位置:首頁>>91嫩草国产在线观看www免费資訊
淺析差壓液位91视频最新地址在蒸汽冷凝槽中的應用
發表時間:2019-04-21| 聯係電話:15601403222 、 13915181149
摘 要:介紹了某核電站蒸汽冷凝水平衡槽液位測量儀表係統構成及工作原理,差壓液位91视频最新地址的安裝注意事項、遷移計算方法,並結合某核電站安裝調試中出現的具體問題,對壓差液位變送器的安裝調試進行了分析與改進。在實際運行中,差壓液位91视频最新地址測量穩定,調試維護方便。
0 引言
核電廠中蒸發裝置、冷卻裝置是硼回收係統、廢液收集處理係統等重要組成部分,蒸汽冷凝水平衡槽用於收集蒸汽冷凝水,並通過其液位控製來保持冷卻器內充滿被冷卻的液體,蒸汽冷凝槽液位控製對核電站輔助工藝係統的正常穩定運行起著重要作用。由於核電站硼回收係統、廢液收集處理係統產生的氣體、液體均帶有放射性,蒸汽冷凝槽放置於人員禁止靠近或不易靠近的區域,這就對儀表的安裝位置提出了要求,測量儀表應安裝於便於維護、放射性較低的區域。而差壓液位91视频最新地址由於其性能穩定、精度高、分離式安裝等特點,其**應用於核電站液位測量中。本文以某核電廠的蒸汽冷凝水平衡槽液位測量為例,詳細闡述了差壓液位91视频最新地址在蒸汽冷凝水平衡槽中的設計應用,並結合某核電廠實際安裝調試問題對其進行了分析及改進。
1 蒸汽冷凝水平衡槽液位測量係統
1. 1 差壓液位91视频最新地址測量原理
差壓液位91视频最新地址主要有差壓傳感器、91视频最新地址組成。
差壓傳感器測量原理為:來自雙側導壓罐中的壓力作用於傳感器兩側的隔離膜片上,通過膜片內的密封液傳導至測量元件上,測量元件將測得的壓差值轉換成對應的電信號(4 ~20mA 信號)輸出。差壓液位91视频最新地址工作原理:通過特定的係統布置,依據液體壓強計算公式(P = ),將被測容器的液位測量轉化成壓差測量,再通過相應的公式推算可計算出被測容器實時液位值。差壓液位91视频最新地址應用場合主要有常壓容器液位測量、帶壓容器液位測量兩種。
1. 2 蒸汽冷凝水平衡槽液位測量係統
蒸汽冷凝水平衡槽液位測量係統采用差壓式液位測量原理,其係統設置如圖 1 流程圖所示。液位測量係統主要有儲槽 013BA(帶壓容器)、平衡容器、平衡容器補水管線及連通管、儀表根閥、差壓91视频最新地址405MN 及引壓管路組成。該液位測量裝置專門設置平衡容器,以避免差壓91视频最新地址氣體測量端由於蒸汽冷凝帶來的誤差以及高溫蒸汽對測量儀表造成的損害。其工作流程及原理如下:
平衡罐安裝於被測容器的上方,平衡罐中部通過管線與冷凝槽上部進氣/液管線連通。係統調試運行前,首先通過平衡罐頂部補水管線對平衡容器進行補水,當平衡罐中液體超過連通管接口時,多餘的液體自流進廢液儲槽,停止補水,保持平衡罐上部氣壓與廢液儲槽 013BA 上部氣壓一致。差壓91视频最新地址一端連接廢液儲槽底部壓力接口(405VML 根閥),一端連接平衡罐底部壓力接口(405VML 根閥),根據差壓式液位測量原理,差壓91视频最新地址 405MN 實際測量的差壓值經過公式換算後,可得到廢液儲槽 013BA 的實時液位。

2 差壓液位91视频最新地址安裝與調試方法
2. 1 液位測量儀表安裝
差壓液位91视频最新地址的正確規範安裝以及安裝方式對應量程、上限、下限的計算和設置決定了容器液位測量的正確性。差壓液位91视频最新地址在蒸汽冷凝水平衡槽液位測量中應用時,應注意以下事項:
(1)傳感器(差壓91视频最新地址)的安裝高度應低於 0%容器液位;
(2)平衡罐的安裝高度應高於容器上部取源口,容器與平衡罐的連同管線應保持至少 2% 的坡度,保證平衡罐中補充或冷凝的多餘液體回流到容器中,以維持傳感器平衡罐測得壓力恒定;
(3)容器上部取源口應高於 ****容器液位;
(4)從儀表根閥至傳感器的引壓管線應保持往下至少 2%的坡度,使引壓罐中不會集氣;
(5)傳感器應安裝於輻射劑量較低的區域(黃區、綠區或白區),以便於現場維護。

2. 2 液位測量儀表遷移計算
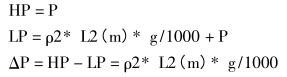
蒸汽冷凝槽液位測量儀表在調試過程中,將差壓91视频最新地址測量值通過遷移計算轉換成實際液位值,是調試的主要工作。下麵以某冷凝槽液位測量儀表為例,對儀表的遷移計算方法進行說明(見圖 2 所示)。HP 傳感器高壓側壓力,LP 為低壓側壓力。ρ1 為被測容器介質密度,ρ2 為平衡罐中介質濃度,L1 為被測容器液位值,L2 為平衡罐液麵至被測容器 0 液位的距離。P 為傳感器低於正常水位產生的固定壓力值與容器內部氣壓值之和。
容器 0%液位時 HP、LP 計算如下:

容器 ****液位時 HP、LP 計算如下:

傳感器數值對應關係如表 1 所示。

由於傳感器輸出 mA 值與差壓顯示值呈線性變化,根據上述公式,可得出傳感器 ΔP 數值對應的實際液位值。
3 現場安裝調試問題分析及處理
某核電廠蒸汽冷凝水平衡槽液位測量儀表,在調試過程中量程遷移不到位,不能滿足測量要求。
3. 1 問題分析
查閱相關圖紙資料及經過現場測繪,冷凝槽、平衡容器中液體均為水,密度 ρ1、ρ2 均為 998. 35Kg/m 3 ,容器液位測量範圍 0 ~ 500mm,L2 為 1. 1m,現場到貨儀表*大量程為 6kPa。液位測量流程圖如圖 1所示,遷移計算如圖 2 所示。
由第二章節可知,當正常水位為 0 時,差壓91视频最新地址兩端的壓差*值達到*大值,根據實際測量數據,*大壓差約為 11kPa,超出了現有儀表的量程範圍。通過分析造成這種情況產生的原因如下:儀控**按照工藝輸入條件進行儀表選型,儀控**收到係統**的輸入條件是需要測量 013BA 的液位,測量範圍為 0 ~500mm,設計者對差壓液位測量儀表的安裝方式及測量原理認識不清,沒有考慮到儀表量程範圍的選擇與儀表平衡罐的位置有關,隻是按照工藝輸入條件進行設計,造成儀表不適用現場。這要求設計人員在設計前,應掌握液位測量儀表的測量原理及安裝方法,才能避免現場問題的產生。
3. 2 問題處理
通過上述分析,91免费在线视频可知目前是所選差壓91视频最新地址量程過小造成問題的產生,且工藝過程中存在的*大壓差與平衡罐的高度(也就是遷移計算書中 L2 的長度)有關,L2 的長度變小,相應的*大壓差值就變小。那麽,就有兩種方案可解決該問題:
(1)更換儀表量程,選擇*大量程大於 11kPa 的儀表;
(2)將平衡罐的高度降低 500mm 左右,使現有儀表能夠滿足現場測量的要求。
方案 1 主要涉及采購周期的問題,從儀表采購到儀表到貨*少需要 3 個月,而核電站建設周期與時間節點有嚴格的把控,從問題反饋到下一個重要節點僅有 1 個多月時間,時間來不及,故該方案暫不考慮。
方案 2 需考慮平衡罐降低高度的可能性。基於平衡罐中液體回流至 013BA 的原理,平衡罐至 013BA上部出口管道的管線應水平微微向下敷設,因此平衡罐下降的同時,連接管線也應同時下降。經查閱設備圖紙,013BA 底部取源口至設備頂部出口的距離約為550mm,故該方案可行。雖然現場管道及保溫已安裝完畢,更改平衡罐高度會牽扯到 SED 補水管線、平衡罐連接管線、拆保溫層等工作,工作量較大,但為滿足裝料時間節點,*終采用該方案。
4 結束語
差壓液位液位91视频最新地址在核電站蒸汽冷凝水平衡槽的液位測量中已得到**的應用,各電站運行反饋中,該液位測量方式運行穩定、測量精度高、便於維護且經濟性高。但在安裝調試過程中,仍然出現各種各樣的問題,這就要求核電站設計、安裝、調試人員應對液位測量91视频最新地址的測量原理、安裝要求、遷移計算方法等有比較清楚的認知,這樣才能保證冷凝水平衡槽液位的正確、*測量。
受歡迎產品
- 液位壓力91视频最新地址
- 壓差91视频最新地址
- 法蘭式液位91视频最新地址
- 靜壓式液位91视频最新地址
- 一體化溫度91视频最新地址
- 壓力液位91视频最新地址
- 隔膜壓力91视频最新地址
- 3051壓力91视频最新地址
- 衛生型壓力91视频最新地址
- GPRS無線遠傳壓力|差壓|液位|91视频最新地址,液位計
- 單法蘭液位91视频最新地址
- 防腐投入式液位91视频最新地址
- 差壓液位91视频最新地址
- 磁翻板液位91视频最新地址
- 雙法蘭液位91视频最新地址
- 電容式液位91视频最新地址
- 浮球液位91视频最新地址
- 差壓91视频最新地址
- 電容式液位計
- 微壓差91视频最新地址
*新資訊文章
- 液位計的聯鎖值低於報警值是否不合理?
- 針對雙法蘭液位計膜片保護的安裝改造方法詳解
- 工業自動化設備中常用的壓力91视频最新地址
- 壓力傳感器的分類、特點以及用途
- 在稠油熱采平台中如何對壓力91视频最新地址選型及安裝的研究
- 智能液位91视频最新地址在製漿造紙中的使用說明及維護方法
- 液位91视频最新地址在製漿紙中的應用和維護情況介紹
- 壓力91视频最新地址常見故障的四點解決對策
- 加壓鍋爐汽包中利用差壓91视频最新地址測量封閉水箱水位的調試過程
- 浮球液位91视频最新地址的產品原理及使用時的注意事項
- 關於生產衛生型壓力91视频最新地址的衛生級設計的**性要求
- 當使用平膜壓力91视频最新地址時出現以下誤差是無法避免的
- 壓力91视频最新地址與壓力傳感器有什麽不同
- 壓力91视频最新地址常見問題排查5點方法
- 簡述單法蘭與雙法蘭液位91视频最新地址區別有哪些?
- 為什麽壓力91视频最新地址的信號輸出常用的是4-20mA dc的原因分析
- 簡述電容式、擴散矽、陶瓷式微差壓91视频最新地址的區別
- 國內液位91视频最新地址產業的發展趨勢
- 電容式壓力91视频最新地址的應用範圍及產品特點介紹
- 決定電容式壓力91视频最新地址的選型的幾個關鍵參數要求及相應方法











