當前位置:首頁>>91嫩草国产在线观看www免费資訊
靜壓式液位91视频最新地址測量液位物理量的計算方法及公式說明
發表時間:2019-05-10| 聯係電話:15601403222 、 13915181149

1、結構原理:
RZ-JY係列靜壓式液位91视频最新地址是通過測量液體液位高度而產生的靜壓力來測定液體液位。(關於傳感器的工作原理與YZSK-100液位91视频最新地址相同)
當把液位91视频最新地址的傳感器部分投入到液體介質中時,傳感器受液體的靜壓作用轉換為電壓信號。電壓信號再經放大並轉換成二線製4-20mADC標準電流信號輸出。
2、工作原理:
傳感器在液體中所受到的靜壓力為:
P=grh+Po
G-重力加速度(常數)
r-液體密度
h液麵待測高度
Po-液麵上方的大氣壓力
當Po不變時,則壓力取決於密度和液位高度的兩個變量,當液體密度為一定值時,液位將與壓力成線性關係。這一壓力作用在壓力傳感器上的感應麵上,將液位壓力轉換為電壓信號。電壓信號經放大直接轉換為二線製4-20mADC標準信號輸出。若液麵上部壓力Po發生變化時,壓力傳感器將受到如同液位變化一樣的影響,為消除由此而引起的測量誤差,URS-100液位91视频最新地址采用通心導氣電纜設計方法,將液麵上部的壓力導入傳感器背壓麵,從而消除了影響,保證了測量精度。
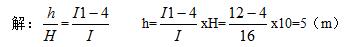
例: URS-100A2E10300-10000-1.0,即量程為10m水柱二線製4-20MADC輸出的液位91视频最新地址,測量時輸出電流為12mA,求此時所測水位是多少?
已知:量程H=10m
全量程電流變送值I=20-4=16mA
輸出電流:I1=12mA
求:水位高度h

答:所測水位是5m。
受歡迎產品
- 液位壓力91视频最新地址
- 壓差91视频最新地址
- 法蘭式液位91视频最新地址
- 靜壓式液位91视频最新地址
- 一體化溫度91视频最新地址
- 壓力液位91视频最新地址
- 隔膜壓力91视频最新地址
- 3051壓力91视频最新地址
- 衛生型壓力91视频最新地址
- GPRS無線遠傳壓力|差壓|液位|91视频最新地址,液位計
- 單法蘭液位91视频最新地址
- 防腐投入式液位91视频最新地址
- 差壓液位91视频最新地址
- 磁翻板液位91视频最新地址
- 雙法蘭液位91视频最新地址
- 電容式液位91视频最新地址
- 浮球液位91视频最新地址
- 差壓91视频最新地址
- 電容式液位計
- 微壓差91视频最新地址
*新資訊文章
- 液位計的聯鎖值低於報警值是否不合理?
- 針對雙法蘭液位計膜片保護的安裝改造方法詳解
- 工業自動化設備中常用的壓力91视频最新地址
- 壓力傳感器的分類、特點以及用途
- 在稠油熱采平台中如何對壓力91视频最新地址選型及安裝的研究
- 智能液位91视频最新地址在製漿造紙中的使用說明及維護方法
- 液位91视频最新地址在製漿紙中的應用和維護情況介紹
- 壓力91视频最新地址常見故障的四點解決對策
- 加壓鍋爐汽包中利用差壓91视频最新地址測量封閉水箱水位的調試過程
- 浮球液位91视频最新地址的產品原理及使用時的注意事項
- 關於生產衛生型壓力91视频最新地址的衛生級設計的**性要求
- 當使用平膜壓力91视频最新地址時出現以下誤差是無法避免的
- 壓力91视频最新地址與壓力傳感器有什麽不同
- 壓力91视频最新地址常見問題排查5點方法
- 簡述單法蘭與雙法蘭液位91视频最新地址區別有哪些?
- 為什麽壓力91视频最新地址的信號輸出常用的是4-20mA dc的原因分析
- 簡述電容式、擴散矽、陶瓷式微差壓91视频最新地址的區別
- 國內液位91视频最新地址產業的發展趨勢
- 電容式壓力91视频最新地址的應用範圍及產品特點介紹
- 決定電容式壓力91视频最新地址的選型的幾個關鍵參數要求及相應方法











